泰宁金湖鱼类群落结构及鲢、鳙生长特征
Fish community structure and the growth performance of Hypophthalmichthys molitrix and Aristichthys nobilis in Jinhu Reservoir,Taining County,Fujian Province
收稿日期: 2023-02-20
| 基金资助: |
|
Received: 2023-02-20
作者简介 About authors
何美峰(1981—),男,助理研究员,博士生,研究方向:淡水渔业资源。E-mail:hmf917@163.com
本研究于2022年1月、4月、7月和10月利用混合刺网和地笼网对泰宁金湖鱼类资源进行探捕,共发现鱼类32种,隶属于3目8科26属,其中以鲤形目鱼类为主,生态类型组成以肉食性、杂食性鱼类为主。群落优势度中全年优势种有4种,即鲢(Hypophthalmichthys molitrix)、鳙(Aristichthys nobilis)、细鳞鲴(Xenocypris microlepis)和达氏鲌(Culter dabryi dabryi)。构建鲢和鳙生长模型,其中鲢的体长、体质量生长方程分别为:Lt= 74.52×[1-e-0.26(t+0.35)];Wt = 6 925.48×[1-e-0.26(t+0.35)]2.906 9;鳙体长、体质量生长方程分别为:Lt= 68.35×[1-e-0.19(t+0.82)];Wt = 5 669.32×[1-e-0.19(t+0.82)]2.973 0。金湖鲢和鳙的生长拐点年龄分别为3.75龄和4.91龄。建议鲢、鳙的起捕年龄分别为4龄和5龄,以最大程度发挥保水功效和经济效益。研究结果为金湖水质生物调控、提高渔业生产潜力、增加经济效益提供基础资料,也为金湖鲢、 鳙资源合理利用及生态环境修复提供重要参考依据。
关键词:
In order to provide basic data for biological control of water quality,to improve of fishery potential and economic benefits,we characterized the fish community and measured growth rates of H.molitrix and A.nobilis in Jinhu Reservoir.Making use of mixed gill nets,a systematic fishery investigation was conducted in Janurary,April,July,and October of 2022,respectively.A total of 32 fish species were collected,belonging to 26 genera,8 families and 3 orders.Cypriniformes was the largest order,which accounted for 75.0%.The ecological type analysis revealed that the community was dominated by carnivorous and omnivorous fish.Four dominant fish species were identified based on the index of relative importance,which were H.molitrix,A.nobilis,Xenocypris microlepis and Culter dabryi dabryi.The growth equation of body length and body mass for H.molitrix,they were Lt=74.52×[1-e-0.26(t+0.35)];Wt=6 925.48×[1-e-0.26(t+0.35)]2.906 9,respectively,and for A.nobilis were Lt= 68.35×[1-e-0.19(t+0.82)];Wt = 5 669.32×[1-e-0.19(t+0.82)]2.973 0,respectively.The highest body mass growth rate for H.molitrix occurred during the age of 1-4,and then decreased gradually,with the growth inflexion points at the age of 3.75.And infection point for A.nobilis was 4.91.As a result,the most appropriate catching age were 4-year-old for H.molitrix and 5-year-old for A.nobilis in order to get the best effect on algal bloom control and economic benefit.The results provided important scientific evidence for rational utilization of H.molitrix and A.nobilis resources and ecological environment restoration in Jinhu Reservoir of Taining,Fujian Province,China.
Keywords:
本文引用格式
何美峰, 肖九兰, 梁忠连, 崔利峰, 陈梦云.
HE Meifeng, XIAO Jiulan, LIANG Zhonglian, CUI Lifeng, CHEN Mengyun.
金湖,又名池潭水库,位于武夷山南端的泰宁县境内,是国家5A级景区、世界地质公园、福建省最大的人工湖(湖面3.6×107 m2,库容8.7×108 m3),是集发电、旅游和渔业功能为一体的大型水库。金湖自1980年建库到2004年,库区渔业始终以单一、传统的无序捕捞方式为主,渔业资源日渐衰竭,水体富营养化现象屡有发生,严重影响金湖旅游业和渔业的可持续发展。为增加金湖渔业资源量并修复其生态环境,2004年12月以泰宁县渔业行政主管部门牵头、周边渔民参股的形式成立了泰宁县大金湖渔业发展有限公司[1]。近些年来,该公司借鉴千岛湖“保水渔业”发展经验,每年大量增殖放流鲢(Hypophthalmichthys molitrix)和鳙(Aristichthys nobilis),并结合控制凶猛性鱼类数量,以确保放养鲢、鳙的成活率,同时增强水体下行控制作用,以控制水华和改善水质[2],这使金湖水质状况明显改善。放养的鲢和鳙通过滤食水中的浮游动植物并消化为鱼体蛋白质,之后被捕获而移出水体,从而达到降低水体氮、磷浓度的目的[3]。发展“保水渔业”的核心是利用鱼类等水生生物调控来有效确保水库生态系统中物质能量流动的流畅,其中有效掌握水库鱼类资源群落结构特征、主要保水型鱼类生长特性等是发展 “保水渔业”的基础[4]。自2004年泰宁金湖渔业发展有限公司建立以来,金湖库区大力发展“保水渔业”,通过增殖放流滤食性鱼类(鲢和鳙)来有效抑制水体富营养化的加剧、控制藻类的异常增殖,发挥渔业维护水生态系统稳定的作用。但有关金湖鱼类资源群落结构和放流鲢、鳙的生长特性未见报道。因此,本研究通过2022年鱼类资源调查,分析了水库鱼类种类组成、优势种,同时分析了鲢 、鳙生长特性,掌握鲢和鳙资源变动规律和生长拐点,以期为更科学地制定金湖渔业规划、更好地发挥鱼类洁水保水功能提供参考。
1 材料与方法
1.1 样品采集
于2022年1月、4月、7月和10月在金湖布设4个采样点即S1(117.04°E、26.84°N)、S2(117.03°E、26.82°N)、S3(117.05°E、26.79°N)和S4(117.03°E、26.76°N)(图1),调查方法参照《水库渔业资源调查规范》[5]。由库区专业渔民在不同月份利用混合刺网(网目6、8、10、12 cm,网长100 m,网高3 m)和地笼网(网框0.30 m×0.25 m,网长7.5 m)采集鱼类样本,其中刺网采集时间为4 h,地笼网采集时间为24 h。对采集的渔获物进行分类、测量体长和称重,参照《福建鱼类志》[6]和《中国内陆鱼类物种与分布》[7]进行种类鉴定和命名。同时,取鲢、鳙背鳍下方鳞片5~10片作为年龄鉴定材料,并将其装入鳞片袋,编号保存,带回实验室鉴定。
图1
图1
泰宁金湖鱼类采样点分布
Fig.1
The locations of the sampling stations in Jinhu Reservoir of Taining, Fujian Province
1.2 鳞片处理方法
取出鳞片后,放置在1%NaOH溶液中1 h以上,再清除表面结缔组织,清水漂洗干净后封片观察,用数码成像系统拍摄并测量鳞径。年龄计数参照殷名称[8]的方法,即0+~1龄为1龄,1+~2龄为2龄,以此类推。每个鳞片的判读至少需2人,若其中2人判读不一致,则请第3人判读,以其中2人判读结果一致则采用,否则该鳞片判读年龄被拒绝。
1.3 数据处理方法
1.3.1 优势度
优势度采用Pinkas相对重要性指数(Index of relative importance,IRI),该指数综合考虑了个体数、重量和出现频率3个变量,比较适合多鱼种的种类分析,在实践中应用较多。其公式为:
1.3.2 鲢、鳙生长模型
将获得的体长和对应年龄数据输入渔业统计软件FiSAT 2.0中进行进一步分析,估算鲢、鳙的渐进体长(L∞)和生长指数(k),拟合Von Bertalanffy生长方程(VBGF),其方程为:
2 结果与分析
2.1 渔获物组成
2.1.1 种类组成
本次调查共采集鱼类样本307尾,合计68.854 kg,鉴定鱼类32种,隶属于3目8科26属。其中,列入国家重点保护经济水生动植物资源名录(第一批)的有草鱼(Ctenopharyngodon idellus)、团头鲂(Megalobrama amblycephala)、鲂(Megalobrama skolkovii)、翘嘴鲌(Culter alburnus)、细鳞鲴(Xenocypris microlepis)、银鲴(Xenocypris argentea)、鳙、鲢、鲤(Cyprinus carpio)、鲫(Carassius auratus)、黄颡鱼(Pelteobagrus fulvidraco)、鳜(Siniperca chuatsi)和斑鳢(Channa maculata)13种;国内外来种有草鱼、鲢、鳙、团头鲂4种,国外外来种有齐氏罗非鱼(Coptodon zillii)1种(表1)。在分类阶元目水平上,鲤形目24种,占总种类数的75.0%;鲈形目5种,占15.6%;鲇形目3种,占9.4%。在分类阶元科水平上,鲤科最多,为23种;其次为鲿科和鮨鲈科,各2种;其他5科各1种。
表1 泰宁金湖鱼类组成
Tab.1
| 种类Species | 生态类型 Ecological type | 种类Species | 生态类型 Ecological type | |
|---|---|---|---|---|
| 鲤形目Cypriniformes | 侧条光唇鱼Acrossocheilus parallens | 杂食 | ||
| 鲤科Cyprinidae | 鲤C.carpio▲ | 杂食 | ||
| 宽鳍鱲Zacco platypus | 杂食 | 鲫C.auratus▲ | 杂食 | |
| 马口鱼Opsariichthys bidens | 肉食 | 鳅科Cobitidae | ||
| 草鱼C.idellus▲● | 植食 | 泥鳅Misgurnus anguillicaudatus | 杂食 | |
| 大眼华鳊Sinibrama malrops | 杂食 | 鲇形目Siluriformes | ||
| 䱗Hmiculter leucisculus | 杂食 | 鲇科Siluridae | ||
| 团头鲂M.amblycephala▲● | 植食 | 鲇Silurus asotus | 肉食 | |
| 鲂M.skolkovii▲ | 植食 | 鲿科Bagridae | ||
| 翘嘴鲌C.alburnus▲ | 肉食 | 瓦氏黄颡鱼Pelteobagrus vachelli | 肉食 | |
| 达氏鲌Culter dabryi dabryi | 肉食 | 黄颡鱼P.fulvidraco▲ | 肉食 | |
| 细鳞鲴X.microlepis▲ | 碎屑 | 鲈形目Perciformes | ||
| 圆吻鲴Distoechodon tumirostris | 碎屑 | 鮨鲈科Percichthyidae | ||
| 银鲴X.argentea▲ | 碎屑 | 斑鳜Siniperca scherzeri | 肉食 | |
| 鳙A.nobilis▲● | 肉食 | 鳜S.chuatsi▲ | 肉食 | |
| 鲢H.molitrix▲● | 植食 | 虾虎鱼科Gobiidae | ||
| 唇䱻Hemibarbus labeo | 肉食 | 子陵吻虾虎鱼Rhinogobius giurinus | 肉食 | |
| 银鮈Squalidus argentatus | 杂食 | 鳢科Channidae | ||
| 似鮈Pseudogobio vaillanti | 肉食 | 斑鳢C.maculata▲ | 肉食 | |
| 蛇鮈Saurogobio dabryi | 肉食 | 丽鱼科Cichlidae | ||
| 福建华鳈Sarcocheilichthys sinensis fukiensis | 杂食 | 齐氏罗非鱼C.zillii ● | 杂食 | |
| 半刺光唇鱼Acrossocheilus hemispinus | 杂食 |
注:▲表示列入国家重点保护经济水生动植物资源名录(第一批);●表示外来物种。
Notes:▲ meant List of National Key Protected Economic Aquatic Animal and Plant Resources (the first);● meant alien species.
2.1.2 生态类型组成
参照鱼类食性文献资料划分,鱼类有4种食性类型,分别为草食性(Herbivore)、肉食性(Carnivore)、杂食性(Omnivore)和碎屑食性(Detritivore)[11]。本次调查发现,金湖鱼类有翘嘴鲌、鳙(滤食浮游动物)、黄颡鱼等肉食性鱼类14种,占总种类数的43.7%;鲤、鲫、齐氏罗非鱼等杂食性鱼类11种,占34.4%;草鱼、团头鲂、鲂和鲢(滤食浮游植物)等植食性鱼类4种,占12.5%;细鳞鲴、圆吻鲴和银鲴等碎屑食性鱼类3种,占9.4%。另外,金湖鱼类除外来放流的草鱼、鲢和鳙为江湖洄游性鱼类外,其他均为江湖定居性鱼类。
2.2 群落优势度季节变化
采用IRI指数对金湖鱼类群落优势种和常见种进行统计。结果显示(表2),1月优势种有5种,按照优势度依次为鲢、达氏鲌、细鳞鲴、鳙和鲫;常见种有3种,依次为圆吻鲴、团头鲂和鲤。4月优势种有5种,按照优势度依次为鲢、细鳞鲴、达氏鲌、鳙和鲂;常见种有3种,依次为瓦氏黄颡鱼、黄颡鱼和圆吻鲴。7月优势种有5种,按照优势度依次为鲢、达氏鲌、细鳞鲴、鲫和鳙;常见种有鲂1种。10月优势种有4种,按照优势度依次为鲢、达氏鲌、细鳞鲴和鳙;常见种有2种,依次为圆吻鲴和鲫。综合分析各月份优势度可知,金湖不同月份鱼类群落优势度变化不大,周年优势种为鲢、细鳞鲴、达氏鲌、鳙。
表2 泰宁金湖鱼类群落优势度
Tab.2
| 时间Month | 种类Species | 体质量百分比/% Body mass percentage | 数量百分比/% Quantity percentage | 出现频率/% Frenquency | IRI |
|---|---|---|---|---|---|
| 1月January | 鲢 | 10.00 | 33.39 | 80 | 3 471 |
| 达氏鲌 | 18.89 | 11.83 | 50 | 1 536 | |
| 细鳞鲴 | 11.11 | 7.65 | 60 | 1 126 | |
| 鳙 | 3.33 | 13.78 | 60 | 1 027 | |
| 鲫 | 13.33 | 5.57 | 50 | 945 | |
| 圆吻鲴 | 7.78 | 6.49 | 30 | 428 | |
| 团头鲂 | 3.33 | 4.95 | 30 | 249 | |
| 鲤 | 2.22 | 8.35 | 10 | 106 | |
| 4月April | 鲢 | 8.82 | 32.88 | 70 | 2 919 |
| 细鳞鲴 | 17.65 | 12.33 | 50 | 1 499 | |
| 达氏鲌 | 8.82 | 6.17 | 60 | 899 | |
| 鳙 | 2.94 | 16.44 | 40 | 775 | |
| 鲂 | 5.88 | 9.59 | 50 | 774 | |
| 瓦氏黄颡鱼 | 7.35 | 4.42 | 30 | 353 | |
| 黄颡鱼 | 5.88 | 3.10 | 30 | 269 | |
| 圆吻鲴 | 2.94 | 2.74 | 20 | 114 | |
| 7月July | 鲢 | 8.97 | 32.16 | 60 | 2 468 |
| 达氏鲌 | 19.23 | 12.92 | 60 | 1 929 | |
| 细鳞鲴 | 12.82 | 9.48 | 80 | 1 784 | |
| 鲫 | 15.38 | 6.89 | 50 | 1 114 | |
| 鳙 | 3.85 | 18.46 | 30 | 669 | |
| 鲂 | 6.41 | 8.61 | 20 | 300 | |
| 10月October | 鲢 | 12.68 | 37.96 | 60 | 3 038 |
| 达氏鲌 | 19.72 | 13.74 | 60 | 2 008 | |
| 细鳞鲴 | 14.08 | 10.47 | 40 | 982 | |
| 鳙 | 4.23 | 16.20 | 30 | 613 | |
| 圆吻鲴 | 9.86 | 9.16 | 20 | 380 | |
| 鲫 | 12.68 | 5.89 | 20 | 371 |
2.3 鲢、鳙生长分析
2.3.1 年龄和体长、体质量组成
鲢和鳙鳞片形状特征具有相似性,均呈现椭圆形或圆形,分为前区、后区和侧区(图2)。后区环纹较为紧密,前区具有以鳞焦为中心的生长环纹,表现为疏密结构,侧区环纹更为明显地表现出典型的切割型和疏密特征。年轮是由前区和侧区特有、规则的环纹被中断或干扰形成的,且只有在一个侧区形成切割穿过前区并进入另一个侧区也形成切割才被认为是有效的。
图2
图2
金湖鲢(a)和鳙(b)鳞片年轮
注:▲表示年轮。
Fig.2
Annual rings of the scale of H. molitrix (a) and A.nobilis (b)
Note:▲ was one of annual rings.
本次调查共统计鲢65尾,体长范围为29.6~66.3 cm,体质量范围为497.5~5 201.5 g;鳙62尾,体长范围为29.2~56.5 cm,体质量范围为498.1~3 406.5 g。通过鳞片年龄鉴定后,鲢年龄组成为2~6龄,其中4龄鱼数量最多,占32.3%,其次为3龄鱼,占20.0%;鳙年龄组成为2~6龄,其中4龄鱼数量最多,占48.4%,其次为3龄鱼,占27.4%(表3)。
表3 泰宁金湖鲢、鳙年龄和体长、体质量实测值
Tab.3
| 种类 Species | 年龄 Age | 数量 Quantity | 体长范围/cm Body length range | 均值/cm Average | 体质量范围/g Body mass range | 均值/g Average |
|---|---|---|---|---|---|---|
| 鲢H.molitrix | 2 | 11 | 29.6~37.2 | 33.3 | 497.5~902.1 | 695.5 |
| 3 | 13 | 37.5~46.1 | 43.8 | 1 010.1~1 507.9 | 1 351.7 | |
| 4 | 21 | 43.7~56.2 | 49.7 | 1 401.5~3 388.1 | 2 120.7 | |
| 5 | 11 | 50.3~58.1 | 55.3 | 2 153.9~3 609.5 | 2 943.0 | |
| 6 | 9 | 55.8~66.3 | 60.1 | 3 387.1~5 201.5 | 4 058.3 | |
| 鳙A.nobilis | 2 | 6 | 29.2~32.8 | 31.5 | 498.1~603.2 | 550.4 |
| 3 | 17 | 33.8~36.9 | 35.3 | 493.2~1 012.4 | 778.6 | |
| 4 | 30 | 35.4~45.3 | 39.3 | 897.8~1 805.1 | 1 141.4 | |
| 5 | 6 | 48.1~52.3 | 50.8 | 1 809.3~2 498.1 | 2 218.6 | |
| 6 | 3 | 56.1~56.5 | 56.3 | 2 912.2~3 406.5 | 3 203.2 |
2.3.2 体长和体质量关系方程
根据实测体长和体质量,拟合金湖鲢、鳙体长和体质量关系方程,结果如图3所示。
图3
图3
泰宁金湖鲢、鳙体长和体质量拟合关系
Fig.3
Relationship between body length and body mass of H. molitrix and A. nobilis in Jinhu Reservoir of Taining, Fujian Province
鲢:W=0.025 0×L2.906 9(R2=0.954,N=65)
鳙:W=0.019 9×L2.973 0(R2=0.960,N=62)
鲢、鳙的b值均约等于3,表明二者的生长基本是匀速的,可采用Von Bertalanffy生长方程拟合。
2.3.3 鲢、鳙生长方程
图4
图4
泰宁金湖鲢、鳙生长曲线
Fig.4
Growth curve of H. molitrix and A. nobilis in Jinhu Reservoir of Taining, Fujian Province
鲢:Lt=74.52×[1-e-0.26(t+0.35)];Wt=6 925.48×[1-e-0.26(t+0.35)]2.906 9
鳙:Lt=68.35×[1-e-0.19(t+0.82)];Wt=5 669.32×[1-e-0.19(t+0.82)]2.973 0
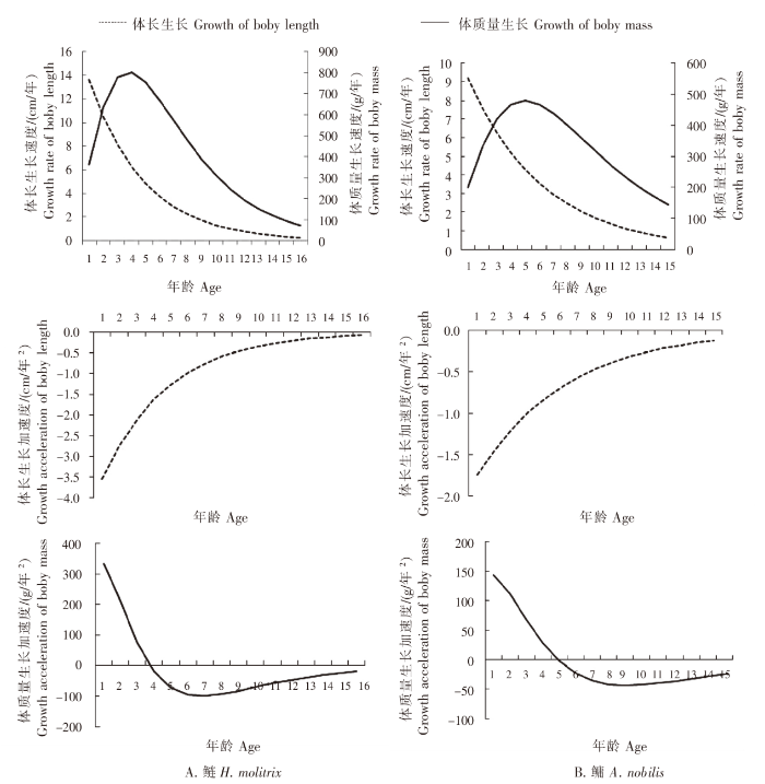
2.3.4 鲢、鳙的生长速度和加速度
将金湖鲢、鳙的生长方程分别求一阶和二阶导数,得到体长、体质量的生长速度及其加速度方程。其中,鲢、鳙生长速度及其加速度方程分别如下:
鲢:dL/dt=19.375×e-0.26(t+0.35)
dW/dt=5 234.25×e-0.26(t+0.35)×[1-e-0.26(t+0.35)]1.906 9
d2L/dt2=-5.038×e-0.26(t+0.35)
d2W/dt2=1 360.91×e-0.26(t+0.35)×[1-e-0.26(t+0.35)]0.906 9×[2.906 9×e-0.26(t+0.35)-1]
鳙:dL/dt=12.987×e-0.19(t+0.82)
dW/dt=3 202.43×e-0.19(t+0.82)×[1-e-0.19(t+0.82)]1.973 0
d2L/dt2=-2.467×e-0.19(t+0.82)
d2W/dt2=608.46×e-0.19(t+0.82)×[1-e-0.19(t+0.82)]0.973 0×[2.973 0×e-0.19(t+0.82)-1]
根据鲢、鳙的生长速度及其加速度方程,绘制方程曲线图(图5)。由图可知,鲢、鳙体长生长速度随年龄的增长而递减,最终趋近于0;体长生长加速度始终为负值,且随年龄增长逐渐上升,说明生长加速度递减速度趋于缓慢。鲢、鳙的体质量生长速度及其加速度曲线均具有1个生长拐点,在拐点年龄前,鲢和鳙生长速度呈逐渐升高趋势,说明拐点年龄前体质量生长递增,但递增速度渐趋缓慢。当鲢、鳙达到拐点年龄时,体质量生长加速度达到最大值,加速度值为0,说明此时体质量生长加速度递增阶段结束。随着年龄的增长,生长加速度呈下降趋势,且为负值,表明体质量生长处于递减阶段,之后又开始升高,说明体质量生长速度进一步下降,其递减速度也渐趋变缓,鲢、鳙开始进入衰老阶段。
图5
图5
泰宁金湖鲢(A)、鳙(B)生长速度和加速度曲线
Fig.5
Growth acceleration of H. molitrix(A) and A. nobilis(B) in Jinhu Reservoir f Taining, Fujian Province
2.3.5 鲢、鳙生长拐点年龄
根据生长拐点年龄公式的计算,可得出金湖鲢、鳙生长拐点年龄分别为3.75龄和4.91龄,与其相对应的体长分别为48.9、45.3 cm,对应的体质量分别为2 029.9、1 673.3 g。一般情况下,生长拐点年龄是鱼类生长由快到慢的转折点,也是确定起捕规格的重要参考。因此,建议金湖鲢、鳙分别以4龄和5龄作为开捕年龄为宜。
3 讨论
3.1 金湖鱼类群落组成变化
据1983年泰宁县鱼类资源调查与区划结果显示,该流域有鱼类51种,而本次金湖共统计32种鱼类,种类数有所减少。本次未调查到的鱼类有长颌鲚(Coilia macrognathos)、鳗鲡(Anguilla japonica)、光倒刺鲃(Barbodes caldwelli)、台湾铲颌鱼(Varicorhinus barbatulus)、鲮鱼(Cirrhinus molitorella)、棒花鱼(Abbottina rivularis)、福建小鳔鮈(Microphysogobio fukiensis)、麦穗鱼(Pseudorasbora parva)、花䱻(Hemibarbus maculatus)、长须鳅鮀(Gobiobotia longibarba)、鱤(Elopichthys bambusa)、红鳍鲌(Culter erythropterus)、越鱊(Acanthorhodeus tonkinensis)、白边鮠(Leiocassis albomarginatus)、圆尾拟鲿(Pseudobagrus tenuis)、鳗尾䱀(Liobagrus anguillicauda)、福建纹胸鮡(Glyptothorax fukiensis)、胡子鲶(Clarias fuscus)、黄鳝(Monopterus albus)、长体鳜(Siniperca roulei)、叉尾斗鱼(Macropodus opercularis)等。这些减少的鱼类主要可分为:1)洄游性鱼类,如长颌鲚和鳗鲡;2)山溪定居性鱼类,如福建小鳔鮈、麦穗鱼、越南鱊、叉尾斗鱼、台湾铲颌鱼等;3)适应急流生态鱼类,如福建纹胸鮡、鳗尾央、长体鳜、长须鳅鮀、白边拟鲿、圆尾拟鲿。该流域鱼类群落组成变化的原因可能有:1)水利工程建设如水坝建设阻隔了鱼类洄游通道,致使江海洄游性鱼类消失;2)水库的建成,改变了河流原有的水文、沉积物、河道物理结构,致使原有山溪定居性和适应急流生活的鱼类的“三场”遭到破坏,这些鱼类种群数量急剧减少。本次调查也发现山区溪流性鱼类种类少,且大多为稀有种,取而代之的是适应静水生活的鱼类,如鲫、达氏鲌等成为优势种,这与目前国内外水利工程建设导致江河鱼类群落变化的结果[14⇓-16]相一致;3)水库建成后,通过人工增殖放流、捕捞凶猛鱼类(如鳡),改变了原有的鱼类群落结构,致使外来鱼类如鲢、鳙、团头鲂等增加;4)本次采样网具、频次和调查区域有限,致使采集到的种类不全。
本次调查也发现,金湖不同季节鱼类群落优势种差异不大,周年优势种有鲢、细鳞鲴、达氏鲌、鳙、鲫等。这可能与以下情况有关:1)金湖每年都会放流鲢、鳙,使其成为优势种;2)细鳞鲴和鲫适应静水生活,对繁殖条件要求不高,繁殖力强,能在库区繁殖;3)达氏鲌等肉食性鱼类被捕食压力小,且适应静水水库生活。另外,据调查,每年从江西或武汉等长江流域引入鲢、鳙苗种时,会意外带入团头鲂、达氏鲌等,从而导致它们在库区具有一定的种群数量。
3.2 金湖鲢、鳙的生长特征
一般来说,鱼类的体长、体质量关系呈幂函数关系,当幂指数b值为3时,表明鱼类生长是匀速型的[8]。本研究和中国不同地理区域河流、水库、湖泊的鲢、鳙的体长-体质量幂指数b值都非常接近3,这表明中国大部分水域鲢、鳙生长均属于匀速型,即生长过程中体型和密度基本一致。当鱼类生长属于匀速型时,一般选择Von Bertalanffy方程描述鱼类生长特征,也可以比较不同水域鱼类种群生长特征的差异[17]。表4列出了我国不同地理区域鲢、鳙种群的生长参数[4,16,18⇓⇓⇓⇓-23],不同水域生长参数存在较明显的差异,这主要与不同水域生态环境、饵料生物、种群密度、种群间和种群内竞争、捕捞压力等因素有关。一般情况下,饵料越丰富、种质条件越好、生态位重叠越少的水域,k值(“内在发育速率”)越高,ti拐点年龄越小,渐进体长L∞和渐进体质量W∞越大即具有更高的生长潜能[24]。金湖鲢鱼的生长参数在统计的不同水域中处于中等水平,而金湖鳙鱼处于较低水平(即生长速度较慢、生长潜能较低),这与金湖饵料资源一般、种群间和种群内竞争大有关,即:1)泰宁金湖多年水质监测表明,该水域为中营养型水库,饵料生物较富营养型水库少;2)特定情况下即特定营养型,鲢、鳙放养比在7∶3或6∶4 [25],而近5年金湖鲢、鳙投放比例为1∶10,甚至更高(图6),这增加了鳙鱼种群内对饵料生物的竞争;3)根据本次调查,发现在金湖鱼类群落结构中,达氏鲌是优势种。而达氏鲌在幼鱼时以浮游动物为食,这与鳙鱼(以浮游动物为主食)存在明显的生态位重叠,即种群间竞争。因此建议,一方面适当调整鲢、鳙比例,减少鳙投放;另一方面为确保放流鱼种的成活率,需放流大规格鱼种,严格控制凶猛性鱼类(如达氏鲌)的生物量。
表4 中国不同区域鲢、鳙生长参数
Tab.4
| 种类Species | 水域Water areas | k | ti | b | L∞/cm | W∞/g | 参考文献Reference |
|---|---|---|---|---|---|---|---|
| 鲢H.molitrix | 辽宁汤河水库 | 0.245 | 3.70 | 3.088 | 84.9 | 13 600 | [18] |
| 湖北金沙河水库 | 0.154 | 5.83 | 2.614 | 112.1 | 14 180 | [19] | |
| 湖北东湖 | 0.304 | 3.90 | 3.000 | 99.8 | 17 104 | [20] | |
| 江苏傀儡湖水库 | 0.500 | 2.20 | 2.903 | 73.1 | 7 740 | [21] | |
| 江苏滆湖 | 0.205 | 5.13 | 3.149 | 97.6 | 20 203.6 | [22] | |
| 上海青草沙水库 | 0.183 | 5.40 | 3.027 | 77.8 | 20 024.3 | [23] | |
| 浙江岩口水库 | 0.265 | 3.80 | 2.812 | 73.6* | 5 911.0 | [16] | |
| 浙江老虎潭水库 | 0.386 | 2.72 | 3.118 | 110.5* | 25 138.0 | [4] | |
| 福建泰宁金湖 | 0.260 | 3.75 | 2.907 | 74.5 | 6 925.5 | 本研究 | |
| 鳙A.nobilis | 辽宁汤河水库 | 0.205 | 4.00 | 2.747 | 97.3 | 16 200 | [18] |
| 湖北金沙河水库 | 0.396 | 3.00 | 2.871 | 68.5 | 5 101.9 | [19] | |
| 湖北东湖 | 0.309 | 4.20 | 3.000 | 117.6 | 29 311 | [20] | |
| 江苏傀儡湖水库 | 0.250 | 3.30 | 2.737 | 94.4 | 15 260 | [21] | |
| 江苏滆湖 | 0.160 | 5.73 | 2.941 | 108.5 | 26 457 | [22] | |
| 上海青草沙水库 | 0.172 | 5.00 | 2.946 | 92.1 | 23 875 | [23] | |
| 浙江岩口水库 | 0.319 | 3.33 | 3.070 | 73.3* | 7 625 | [16] | |
| 浙江老虎潭水库 | 0.415 | 2.22 | 2.756 | 93.0* | 12 257 | [4] | |
| 福建泰宁金湖 | 0.190 | 4.91 | 2.973 | 68.4 | 5 669.3 | 本研究 |
图6
图6
2017-2021年泰宁金湖放流鲢鳙数量
Fig.6
The number of manual releasing for H. molitrix and A. nobilis in Jinhu Reservoir of Taining,Fujian Province from 2017 to 2021
3.3 渔业资源管理对策
3.3.1 适当捕捞凶猛性鱼类
实施鲢、鳙放养对金湖生态系统食物网结构和各种鱼类关系均产生了显著的影响。鲢、鳙的大规模放养,不仅为水体中的顶级消费者(如达氏鲌和鳜)提供了充足的饵料,也促进了水体中的底栖动物和碎屑的增加,从而间接促进了食底栖动物和食碎屑鱼类(如细鳞鲴、鲂、鲤等)数量的增长[26]。为此,建议今后可适当捕捞凶猛性鱼类如达氏鲌和鳜,减少鲢、鳙的捕食压力。
3.3.2 适当调整鲢、鳙投放比例
3.3.3 确定合理的捕捞规格
金湖中鲢体质量生长速度以1~3龄较高,体质量生长拐点年龄为3.75龄,体质量为2.03 kg;鳙体质量生长速度以1~4龄较高,体质量生长拐点年龄为4.91龄,体质量为1.67 kg,因此建议鲢以3龄为起捕年龄,鳙以4龄为起捕年龄,使金湖中的鲢、鳙能够最大限度地利用水体中的氮、磷,从而消减藻类。
参考文献
Study on the possible cause of water blooming and the bloom prevention technology in Lake Qiandaohu
[J].
放养鲢鱼(Hypophthalmichthys molitrix Cet V)对水库围隔浮游生物群落的影响
[J].
南海主要珊瑚礁水域的鱼类物种多样性研究
[J].根据2004年5–7月和2005年3–4月采用深水三重刺网在南海的羚羊礁、华光礁、银砾滩、东岛、滨湄滩、排洪滩、本固暗沙、比微暗沙、武勇暗沙、海鸠暗沙、双子群礁、中业群礁、鲎藤礁、美济礁、仁爱礁、仙宾礁、南方浅滩、棕滩、大渊滩、永署礁、南薰礁、牛轭礁、道明群礁等23座主要珊瑚礁过渡性水域进行的2个航次专业调查资料, 分析了南海主要珊瑚礁水域的鱼类种类组成和群落特征。结果表明, 在珊瑚礁水域软骨鱼类以真鲨目和鲼目的种类数占优势, 硬骨鱼类以鲈形目和鲀形目的种类数占优势。相对重要指数(IRI)大于500的鱼类定为优势种, 西沙群岛有5种, 分别为迈氏条尾魟(Taeniura meyeni)、长吻裸颊鲷(Lethrinus miniatus)、胡椒鲷(Plectorhinchus pictus)、黄斑胡椒鲷(P. flavomaculatus)和灰六鳃鲨(Hexanchus griseus); 中沙群岛有6种, 分别为黄斑胡椒鲷、迈氏条尾魟、圆燕鱼(Platax orbicularis)、密斑刺鲀(Dioson hystrix)、红裸颊鲷(Lethrinus rubrioperculatus)和胡椒鲷; 南沙群岛有3种, 分别为黑梢真鲨(Carcharhinus limbatus)、灰三齿鲨(Triaenodon obesus)和星点鲹(Caranx stellatus)。针对南海珊瑚礁水域鱼类个体大小悬殊的特点, 本文分别以个体数和生物量为基础计算该水域的Margalef丰富度指数、Shannon-Wiener多样性指数、Simpson多样性指数和Pielou均匀度指数。物种组成的区域差异分析结果表明, 各珊瑚礁水域的鱼类物种无论与南海北部陆架海域还是与南沙西南陆架区相比都有明显的差异, 而属于相同生境类型水域的鱼类物种相似性较高。
清流罗口溪黄尾鲴国家级水产种质资源保护区鱼类资源现状
[J].为科学制定渔业资源保护对策和管理措施,于2018年3月、7月、10月、12月在罗口溪黄尾鲴国家级水产种质资源保护区开展鱼类资源现状探捕调查。结果表明:保护区鱼类有36种,隶属4目9科31属,其中拟腹吸鳅(Pseudogastromyzon fasciatus)为福建省特有种,鳗鲡(Anguilla sp.)、鱤(Elopichthys bambusa)、赤眼鳟(Squaliobarbus curriculus)等19种为国家重点保护经济鱼类。保护区鱼类区系特点以江河平原区系成分、杂食性鱼类和漂流性卵为主。优势种有黄尾鲴(Xenocypris davidi)、翘嘴鲌(Culter alburnus)、黄颡鱼(Pseudobagrus fulvidraco)、罗非鱼(Tilapia sp.)、大眼鳜(Siniperca kneri)、三角鲂(Megalobrama terminalis)等6种,常见种有细鳞斜颌鲴(Plagiognathops microlepis)、鲤(Cyprinus carpio),鲢(Hypophthalmichthys molitrix)等3种。主要渔获经济鱼类产卵时间集中在4—6月份。保护区属科多样性指数(G-F指数)为0.13,Shannon-Wiener指数为2.32。
黄河干流河南段黄河鲤的生长特征与资源合理利用
[J].为制定黄河干流河南段黄河鲤的开捕规格和总允许捕捞量,根据2013—2016年黄河干流河南段黄河鲤的现场调查数据资料,分析黄河鲤资源群体的体质量与体长组成,拟合黄河鲤的体长-体质量关系式,计算体长生长方程和体质量生长方程的参数,求解黄河鲤个体的体质量生长拐点年龄、资源群体的临界年龄和总死亡率系数,评估黄河干流河南段黄河鲤的资源量。结果表明:黄河鲤的体长生长方程为Lt=625× (1-e<sup>-0.31(t+0.387)</sup>),体质量生长方程为Wt=5 343.3× (1-e<sup>-0.31(t+0.387)</sup>)<sup>3.014</sup>,体质量生长的拐点年龄为3.17龄,群体的临界年龄为3.73龄;黄河鲤的资源生物量为78 052.13 t。建议黄河干流河南段黄河鲤的开捕体长为417.6~450.6 mm,开捕体质量为1 584.9~1 993.2 g,年允许捕捞量为24 801.06 t。
钱塘江三角鲂的生长特性及种群资源现状评价
[J].根据钱塘江三角鲂的渔获物信息,运用FiSAT Ⅱ软件等方法对三角鲂的渔业生物学数据进行分析,估算钱塘江三角鲂的生长、死亡参数和种群资源的利用情况。结果表明:钱塘江三角鲂体长与体质量的幂函数关系为W = 0.014 2× L<sup>3.130 3 </sup>(R<sup>2</sup>=0.979 3,P<0.001),Von Bertalanffy 生长方程为L<sub> t</sub>=57.6×[1-e<sup>-0.18×( t+1.31)</sup>],三角鲂的生长拐点年龄为5.03 a。应用ELEFAN Ⅰ法估算总死亡(Z)系数为1.04,估算自然死亡系数(M)为0.43,捕捞死亡系数(F)为0.61,开发率(E)为 0.59;运用 Beverton-Holt 动态综合模型估算三角鲂的开捕体长为 23.98 cm 。研究结果显示,钱塘江三角鲂的种群资源利用面临一定的捕捞压力,但还处在可持续利用开发的状态。
/
| 〈 |
|
〉 |


