海带变色机理和护绿技术研究综述
An overview of discoloration mechanism and green protection technologies of Laminaria japonica
通讯作者: 苏 捷(1980-),男,助理研究员,博士,研究方向:海洋生物学.E-mail:sjscut@126.com
收稿日期: 2022-01-7
| 基金资助: |
|
Received: 2022-01-7
作者简介 About authors
陈婷茹(1994-),女,研究实习员,硕士,研究方向:水产品加工.E-mail:ctr1003533034@163.com
我国的海带产量巨大,但海带精深加工产品较少,海带护绿是制约精深加工的重要因素之一。海带失绿是因H+取代了叶绿素的卟啉环中的Mg2+而生成脱镁叶绿素所致。针对海带在加工贮藏过程中的变色失绿现象,本文对海带的变色机理和加工中常用的护绿技术进行了综述,以期为海带的护绿技术研究提供参考。
关键词:
The output of Laminaria japonica is huge in China,but there are less L.japonica deep-processing products.L.japonica green protection is one of the important factors restricting deep-processing.The chlorosis of L.japonica is caused by H+ replacing Mg2+ in the porphyrin ring of chlorophyll,resulting in the formation of pheophytin,which makes L.japonica lose green.In view of the discoloration and chlorosis of L.japonica during processing and storage,this paper summarized the discoloration mechanism of L.japonica and the common green protection technologies in processing,in order to provide enlightenment for the green protection technologies direction of L.japonica.
Keywords:
本文引用格式
陈婷茹, 王茵, 王晓玲, 苏捷.
CHEN Tingru, WANG Yin, WANG Xiaoling, SU Jie.
海带(Laminaria japonica)是褐藻门(Phaeophyta)褐藻纲(Phaeophyceae)海带目(Laminariales)海带科(Laminariaceae)海带属(Laminaria)的一种带状海洋藻类。海带中含有多种活性营养成分,具有多种生理功效,如免疫调节、抗肿瘤、降血糖和降血脂等,广受消费者青睐[1-2]。我国是海带养殖生产大国,2020年我国海带养殖面积为46 132 hm2,产量达1 651 573 t,产量居世界首位[3]。海带加工方式分为粗加工和精深加工。海带粗加工产品主要以盐渍和淡干产品为主,约占海带制品的80%,而精深加工主要是将海带加工成食品以及进行工业加工,少部分是作为农业和医疗行业产品进行加工[4]。在加工贮藏过程中,海带容易受到环境和加工方式等影响而呈黄褐色,色泽不佳会降低消费者对海带产品的购买欲,对海带销售不利。为了迎合消费者的视觉需求,海带产品需保持新嫩的草绿色,因此有必要了解海带变色机理,从而探索海带护绿的最佳方法,解决海带的变色失绿问题,提升海带产品的竞争力,促进海带产业的发展。
1 海带中的色素
1.1 海带中的叶绿素
光合作用中最重要的色素是叶绿素,叶绿素能够吸收可见光,从而将获得的能量用于碳水化合物的合成[8]。叶绿素核心部分是1个卟啉环,其是由4个吡咯类亚基通过次甲基桥(=CH-)连成的一个平面大环,环绕在环上的电子可以自由迁移,这增加了叶绿素获得或失去电子的潜力,同时也解释了它在酶、酸、氧、光和热的存在下的不稳定性[11]。平面大环中间与一个镁离子(Mg2+)结合,Mg2+带正电荷,与其相连的氮原子则带负电荷,因而卟啉环具有极性和亲水性,可以与蛋白质通过非共价键结合在一起,蛋白质能够保护叶绿素免受细胞内存在的有机酸的破坏。叶绿素另一部分是一个很长的脂肪烃侧链,称为叶绿醇,该脂肪族链亲脂,因而叶绿素具有脂溶性[12]。不同的叶绿素在吡咯环上含有不同的取代基团,海藻中鉴定出的叶绿素c为叶绿素
图1
同类囊体膜结合的色素-蛋白质复合物主要有3种:光系统Ⅰ(PSⅠ)反应中心色素蛋白复合物、光系统Ⅱ(PSⅡ)反应中心色素蛋白复合物和捕光色素蛋白复合物(LHC),同PSⅠ结合的捕光色素蛋白复合物记为LHCⅠ,同PSⅡ结合的捕光色素蛋白复合物记为LHCⅡ。与高等植物相比,针对褐藻PSⅠ和PSⅡ色素蛋白复合物的相关研究较少,但是无论是藻类还是高等植物,两个光系统的反应中心在进化上具有一定的保守性。同高等植物相比,褐藻PSⅡ色素蛋白复合物的多肽分子量较大,但有结构上的相似性和同源性[15]。褐藻LHC的N末端突出于叶绿体基质中,C末端位于类囊体腔中。褐藻LHC具有3个α螺旋的跨膜区,其中第一和第三螺旋的氨基酸序列在植物界中高度保守,通过谷氨酸-精氨酸和精氨酸-谷氨酸盐桥形成稳定的X型空间结构。α螺旋固定在类囊体的双层磷脂膜上并通过非共价键与色素结合,第一和第三螺旋是叶绿素a的结合位点。在高等植物中,推测第二螺旋应该是叶绿素b结合点,而在褐藻中则是叶绿素c的结合位点[16-17]。徐才哲等[18]参考菠菜LHCⅡ模型,建立三角褐指藻捕光色素蛋白复合物(岩藻黄素-叶绿素蛋白复合体,FCP)的三维结构模型,FCP的模拟结构与菠菜LHCⅡ结构的重叠图如图2所示,图中显示FCP没有2和5两个螺旋,但是1、3和4三个跨膜螺旋几乎与菠菜LHCⅡ的跨膜螺旋完全重合,长度有差异,这预示FCP的三维空间结构与菠菜LHCⅡ相似。综上所述,褐藻和高等植物中色素-蛋白质复合物结构具有相似性,因而推测两者的变色失绿现象具有相通的机理机制。
图2
图2
三角褐指藻FCP 与菠菜LHCⅡ的结构重叠图[18]
注:黄色代表菠菜LHC Ⅱ蛋白;紫色代表FCP蛋白;绿色代表结合的叶绿素;蓝色代表氨基酸侧链。
Fig.2
Simulation of the structure of FCP from P. tricornutum [18]
Notes:Yellow represented Spinacia oleracea LHCⅡ,purple represented FCP from Phaeodactylum tricornutum,green represented bound chlorophyll,and blue represented amino acid side chains.
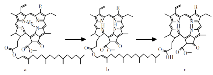
海带叶绿素降解途径可能如下:首先经过脱镁离子反应,叶绿素a脱去Mg2+形成脱镁叶绿素a(黄褐色),接下来在脱镁叶绿素水解酶(PPH)作用下发生脱植基反应,脱去植基,生成脱镁叶绿酸a(黄褐色),降解途径如图3所示,脱镁叶绿酸a单加氧酶PAO以脱镁叶绿酸a为底物,通过催化氧原子的加入,使脱镁叶绿酸a的卟啉环在C4-C5键氧化开环,生成红色叶绿素降解产物(RCC),导致绿色彻底丧失,最后在红色叶绿素降解产物还原酶(RCCR)的作用下,生成无色具有蓝色荧光的初级荧光叶绿素降解产物(PFCC)。由于PFCC不稳定,最终在植物体内迅速转化为非荧光叶绿素代谢产物(NCCs)[14,19-20]。叶绿素c不容易发生脱镁反应,这是由C171和C172之间的双键与卟啉大环上不同的不饱和排列相结合造成的,叶绿素在平面卟啉环上π-电子密度随电子向C171双键的转移而降低,使叶绿素分子不那么灵活和完全共轭。同时叶绿素c缺乏叶醇基,因此只能生成叶绿酸c[13,21]。叶绿素在加工贮藏过程中如果受到长时间的光照,则会发生光敏氧化反应,即叶绿素吸收过量光能会转变为三线态,然后通过电子将能量传递给氧等,氧接收电子后会产生单线态氧等活性氧从而破坏膜脂及蛋白质的结构,使叶绿素遭到破坏,变成无色[22]。
图3
当细胞死亡后,叶绿素从色素-蛋白质复合物脱离,形成不稳定的游离叶绿素。在酸性条件下,氢离子(H+)会取代叶绿素分子中的Mg2+,发生脱镁反应,生成脱镁叶绿素,使海带失去绿色;对脱镁反应的分析表明,叶绿素能量比脱镁叶绿素高,能量越高的物质越不稳定,脱镁叶绿素的热稳定性比叶绿素高,因此脱镁在能量上是有利的[21]。在稀碱溶液条件下,叶绿素比较稳定,可发生皂化反应,叶绿素生成叶绿素酸(盐)、甲醇和叶绿醇,其中叶绿酸(盐)为较稳定的绿色化合物,但是碱性过强则会加速脱酯反应使叶绿素分解(吸光值变小)[23]。在适当条件下,根据路易斯酸碱理论和软硬酸碱原则,作为交界碱的吡咯环与硬酸的Ca2+和Mg2+结合较不稳定,而与属于交界酸的铜离子(Cu2+)、亚铁离子(Fe2+)和锌离子(Zn2+)等结合才稳定,因此可以用Cu2+、Zn2+和Fe2+等金属离子置换叶绿素分子中的Mg2+,从而生成绿色长期稳定的金属衍生物[24]。
1.2 海带中的类胡萝卜素
类胡萝卜素是存在于植物和微生物中的色素,自然界中的类胡萝卜素有600多种,海带中的类胡萝卜素主要有褐藻黄素、叶黄素和β-胡萝卜素。其中最有价值的色素是褐藻黄素,是褐藻中重要的天然活性成分之一,在褐藻中的含量最高且只在褐藻及硅藻中发现有褐藻黄素的存在,海带中岩藻黄素的含量约为47.5 mg/100 g(干重),褐藻黄素在叶绿体中与叶绿素a和某些蛋白质组成色素-蛋白质复合体,其主要充当叶绿素的辅助色素,吸收光能并将光能传递给叶绿素,并有助于光保护[9]。
类胡萝卜素是由8个异戊二烯单位组成的碳氢化合物及其氧化衍生物构成的化合物,褐藻黄素的结构图如图4所示。类胡萝卜素分子最典型的特征是共轭双键的系统中π电子在多烯链上有效地离域,π电子运动范围变大。由于C=C键周围的异构性,类胡萝卜素可能以不同的构型存在。双键周围的构型称为E或Z,通常对应于反式和顺式,顺式异构体的热力学稳定性通常不如反式异构体,这主要是由于相邻的氢和甲基之间存在空间位阻。因此,类胡萝卜素的反式形式在自然界中更为普遍。此外,围绕单个C-C键旋转也是可能的,因此类胡萝卜素分子可以表现出多种形状和构象[25]。由于类胡萝卜素含有高度共轭不饱和结构,因此在高温、氧、氧化剂和光等条件下极不稳定,会发生热降解、氧化和异构化等反应,从而使类胡萝卜素分解、褪色和异构化等[26]。
图4
2 加工过程中海带变色机理
海带粗加工主要是通过热烫和盐渍后低温贮藏或晒干制成半制品常温贮藏,精深加工是将海带加工成各种海带制品或用于其他行业的加工。一般果蔬在加工和贮藏过程中绿色损失的原因主要为叶绿素降解和褐变反应,褐变反应包括酶促褐变和非酶促褐变。酶促褐变的发生需要酶、底物(酚类物质)和活性氧3个基本条件,起关键作用的酶主要有过氧化物酶和多酚氧化酶,海带热烫后可以杀灭组织中的酶,盐渍过程中氯化钠(NaCl)可以起到将氧从组织中反应部位排除出去的作用,热烫也能去除组织中的氧气,同时多酚衍生物易被NaCl盐析出来,使海带组织中酚类底物大大减少[8,28],因此海带加工和贮藏过程中的酶促褐变反应少。非酶褐变主要有焦糖化反应、抗坏血酸反应和美拉德反应3种类型。在没有氨基化合物存在的情况下,组织中的糖类受高温影响脱去水分,生成焦糖,该反应称为焦糖化反应。焦糖化的反应温度要求比较高,一般需要高于100℃才会发生,而在海带的加工和贮藏过程中温度均没有超过100℃,因此推断海带不会发生该褐变反应。抗坏血酸(维生素C)被氧化成为脱氢抗坏血酸,再经脱水和脱羟基成为羟基糠醛,该物质可聚合成为褐色物质,该反应称为坏血酸反应。海带中含维生素C少,因此推断该反应也不是海带褐变的原因。羰基化合物(还原糖类)与氨基化合物(蛋白质类)经缩合、聚合会生成黑色素,该反应称为美拉德反应或羰氨反应,温度越高,美拉德反应越快,海带虽含有还原糖和蛋白质,会发生美拉德反应,但常温下反应慢[29-30]。综上所述,海带在加工过程中的呈色变化机理主要是由于叶绿素变化导致的。
2.1 热烫
热烫是指将蔬菜(切分或未切分的)用热水、热蒸汽或微波处理的方式进行短时间的加热,然后立即用冷水冷却,目的是降低酶活,减少微生物作用,更好地保护蔬菜的色泽和质地等[31]。热烫处理是海带加工过程中的关键步骤之一,将海带热烫处理后可发现,海带颜色会由黄褐色迅速变成鲜绿色,这时需要立即终止热烫进行下一步加工,因为随着热烫时间的增加,颜色又会逐渐变为褐色。目前关于热处理对果蔬色泽等品质特征影响的研究较多[32-33],然而,关于热加工处理对海带色泽影响的研究却鲜有报道,只能参考其他褐藻的热烫色泽变化研究结果[34]。在热处理过程中,细胞破裂和叶绿素的损失是绿色植物在热处理过程中最明显的损伤,色素含量的波动是引起海带色泽变化的主要因素之一。当热处理温度高于60℃时,叶绿体发生解体,海带中与叶绿素结合的蛋白结构发生变化,导致叶绿素-蛋白质复合物解体,叶绿素被释放,游离在细胞中,这可能是导致海带在初期热烫后呈现明显绿色的主要原因。然而,扩散在细胞中的叶绿素很不稳定,容易受到环境中高温、酸和光等的影响。随着热烫时间或者贮藏时间的延长,海带组织中渗出的有机酸,加速了H+取代叶绿素分子中的Mg2+,发生脱镁反应,从而使海带逐渐失去了绿色。类胡萝卜素在有氧条件下经加热处理(0~100℃)可发生热氧化降解,产生挥发性和非挥发性化合物,从而发生降解[26]。褐藻黄素中的色素-蛋白质复合体在高温下会发生变性,色素-蛋白质复合体之间的化学键被破坏,褐藻黄素吸光值减少,褐色变少,有利于叶绿素呈色[34]。
2.2 盐渍
食盐腌制是古老的食品保藏方法之一。海带在热烫冷却后进行盐渍,在食用之前,腌制的海带在淡水中漂洗,然后进一步加工成海带产品或直接销售。盐渍不仅能延长海带的储存时间,而且在一定程度上保证了其形态及色泽。Li F等[35]用NaCl对菠菜叶绿素进行处理,发现当NaCl存在时,热处理后菠菜保留了更多的叶绿素,叶绿素的热稳定性提高,说明NaCl对叶绿素有很好的保护作用。这可能是由于NaCl会影响组织中的水活度(Aw),而水活度与水的自由度相关,Aw值越低,水的结合度越高;当NaCl浓度较高时,Aw值趋于较低并保持稳定,Aw的降低说明水分子的结合增强了,NaCl对水分子的强结合作用使得溶液中的水电离作用减少,提供较少的H+,抑制了H+的取代反应。另外,由于氧很难溶解于NaCl水溶液中,盐渍可以阻止海带中叶绿素光降解的发生。而且由于NaCl的渗透压能有效抑制微生物对海带的侵蚀,从而加强了海带组织结构的稳定性[36]。
2.3 干燥
新鲜海带水分含量约为750~900 g·kg-1,具有较高的水活度,货架期短,通常被晒干或者常规风干以延长其储存时间,但晒干海带由于长时间的光照,色素严重流失,变成棕褐色[37]。叶绿素降解主要是由于光照产生自由基,自由基是具有未配对电子的分子,其可以从生物膜上的不饱和脂肪酸的亚甲基抽取一个氢原子而最终导致膜脂质过氧化,对生物膜造成损伤,使活性氧中的小分子更容易进入叶绿体,攻击叶绿素卟啉大环双键,促进叶绿素降解[38]。Zhang M等[39]研究表明自由基是引起绿色蔬菜在干燥过程中褪色的主要原因。徐毅等[40]研究表明光照会引起青花椒体内活性氧的产生,如超氧自由基(O2-)、过氧化氢(H2O2)含量增加,导致脂膜过氧化,使叶绿体膜脂肪酸比例的改变,从而导致叶绿素的降解。也有研究认为叶绿素会发生光敏氧化,从而造成叶绿素的降解[22]。
3 护绿技术
目前海带护绿技术较少且存在一些缺陷,海带在加工和贮藏过程中失绿问题仍然存在,因此有必要探索更优的护绿技术,其他果蔬在颜色保护这方面已有大量的研究,而果蔬的护绿技术和海带的护绿技术具有相通的机理机制,因此可以参考其他果蔬的护绿技术对海带进行护绿。
3.1 短时热烫处理法
热烫是海带加工过程中一个必不可少的环节,它关系着海带的感官性状,可以使海带从黄褐色变成消费者所喜爱的绿色,同时可以钝化过氧化物酶、多酚氧化酶和与叶绿素降解相关的酶,杀灭微生物等[8]。刘倩等[32]对上海青进行热烫后,发现在适当热烫条件下青菜的叶绿素质量分数较高,色泽也比较好。然而热烫海带的绿色保持不久,在光、热和酸等环境中发生脱镁反应,很快会失去绿色,需要采取其他方法进行下一步护色。但过度的热烫处理也会造成果蔬中颜色和营养成分的损失,对产品质构等品质也会产生较大的影响,刘园等[41]研究表明热烫的时间过长会使桃表面微观结构塌陷,质构下降,维生素C含量下降。因此,应进一步探讨热烫处理对海带各项理化指标的影响,通过优化确定最佳的热烫工艺条件。
3.2 盐渍法
3.3 低温贮藏法
3.4 调节pH值法
海带在酸性条件中,叶绿素会发生脱镁反应,其结构中的卟啉环易被破坏从而失去绿色。但在稀碱条件下,海带叶绿素会发生皂化反应,叶绿素生成叶绿酸盐和叶绿醇等,颜色保持绿色。潘柯伊等[46]研究pH对复绿海带叶绿素稳定性的影响,发现pH在6~9之间时,叶绿素相对稳定,当pH为8时即在微碱状态下最稳定。但这种碱处理法保绿时间不够长且碱性过大(pH>8)会导致营养成分的严重损失,海带中的褐藻酸会转化为可溶于水的褐藻酸钠盐而流失,同时海带表皮易遭破损[47]。因此,可在海带产品或热烫水中加入适量磷酸盐或者碳酸盐(磷酸盐和碳酸盐均为GB 2760—2014《食品安全国家标准 食品添加剂使用标准》中允许添加的食品添加剂[48])保持微碱性或中性,增强叶绿素的稳定性,但经这样处理的海带不耐贮藏和光照。
3.5 金属离子取代护绿法
叶绿素分子中Mg2+与卟啉环之间的结合很不稳定,因此在海带加工过程中可以采用金属离子置换叶绿素中的Mg2+或者脱镁叶绿素中的H+,形成绿色的叶绿素金属离子络合物,该金属衍生物化学性质稳定,不容易变色。常用的金属离子主要有Zn2+和Cu2+,它们都是人体必需的重要微量元素,Cu2+比Zn2+活性高,取代反应速度快,但由于Cu2+过量会对人体有害,食品中的Cu2+也有严格的限量要求,而Zn2+允许量较高且Zn2+溶液为国标中允许添加的食品添加剂[48],因此加工生产上可以考虑使用Zn2+溶液来对海带进行护绿,但是要严格注意护绿后海带中残留的Zn2+含量[49]。在热烫水中适量添加金属离子,会改善护绿效果,因此可以将热烫处理与金属离子取代护绿两种方法相结合。不过该法也有缺点,比如海带口感变硬,这是因为金属离子可以和海带中的多糖结合,改变了海带的凝胶特性。刘启莲等[49]用不同金属复绿液对干海带进行复绿,结果表明相比氯化钙溶液,干海带在醋酸锌溶液中复绿5 min所得到的复绿效果更佳。
3.6 叶绿素衍生物染色护绿法
叶绿素衍生物是将叶绿素提取出来经皂化反应后再用金属盐取代卟啉中的Mg2+而得,主要有叶绿素铜钠盐、叶绿素锌钠盐和叶绿素铁钠盐等,这些均为天然的食品添加剂。用叶绿素衍生物对果蔬产品进行染色,护绿效果远比金属离子取代护绿法效果好,不仅色泽保持时间久,而且残留的金属离子含量低,该方法是目前较为提倡的护绿保色方法[50]。
3.7 抗氧化剂法
自由基会使叶绿素发生降解,因此可以通过加入抗氧化剂,减少自由基对叶绿素的攻击,从而护绿,其作用机理是抗氧化剂可以释放氢原子,而氢原子可与自由基结合,中和自由基,使自由基转变成较稳定的化合物。常用的抗氧化剂主要有茶多酚、特丁基对苯二酚(TBHQ)、2,6-二叔丁基对甲酚(BHT)、丁基羟基茴香醚(BHA)、维生素C(VC)和维生素E(VE)等,这些抗氧化剂均为国标中允许添加的食品添加剂[48],但也需要严格注意其添加量,潘柯伊等[46]研究发现BHT、BHA、VC和VE都能显著地提高海带中叶绿素的稳定性。BHT和TBHQ相比维生素成本较低,因此在海带产品加工过程中可加入BHT和TBHQ,或者为了提高海带产品的营养功效也可加入VC和VE。
3.8 高静压(HHP)处理法
近年来,HHP处理对果蔬色泽质量的影响受到了广泛的关注。HHP是一种创新的非热处理工艺,可替代食品的热巴氏杀菌。HHP处理可杀灭微生物和保持产品稳定,而不影响产品的感官质量[51]。多项研究表明HHP处理能使果蔬颜色保持良好,Wang R等[52-53]采用HHP处理绿色菠菜并对其相关指标进行研究,结果表明HHP处理能较好地保持菠菜的视觉绿色(a值和L值)和稳定叶绿素含量,且HHP处理后的样品在储存过程中保持绿色的效果优于热处理后的样品,随着压力等级的增加(200 ~ 600 MPa),这种积极作用更加明显。Li F等[35]研究表明HHP处理协同NaCl处理叶绿素溶液,能使叶绿素的稳定性和保留率都得到提高,目前HHP处理还未有在海带护色方面的相关研究。
4 展望
海带护绿是约束海带加工的重要因素之一。众所周知,海带呈绿是由自身所带有的叶绿素引起的,但目前关于海带呈色和变色机理研究较少,需要对其机理做进一步的研究,从而为开发新的护绿技术提供理论依据。目前海带护绿技术尚未成熟,海带在加工和贮藏过程中失绿问题仍然存在,护绿技术的研发对海带产业的发展具有重要的作用,也有良好的市场前景。研究表明果蔬的护绿技术和海带的护绿技术具有相通的机理机制,因此将叶绿素衍生物染色、高静压处理等果蔬的护绿技术应用于海带的护绿可能是今后海带护绿的重要研究方向。
参考文献
海带的主要功能及加工利用研究现状
[J].向海洋索取食物、功能蛋白质和活性物质,已成为世界各沿海国家海洋开发的重要内容。海带作为一种营养丰富的食用海藻,是一种典型的高矿物质、中蛋白、低热量的天然健康食品,具有很高的药用和保健价值。本文概述了海带的主要功能、有效成分的提取以及加工利用研究现状,并对其广阔的开发前景进行展望,以期为进一步推进海带产业可持续健康发展提供参考。
海带酶解液的脱色及发酵脱腥工艺研究
[J].该研究探讨了活性炭和脱色树脂对海带酶解液的脱色及酵母菌和植物乳杆菌(Lactobacillus plantarum)发酵脱腥工艺的研究。结果表明,活性炭的脱色效果优于树脂,在活性炭添加量1.0 g/100 mL,脱色时间30 min,脱色温度50 ℃条件下,对海带酶解液的最高脱色率为64.5%。酵母菌发酵脱腥的最佳工艺条件为:脱腥温度30 ℃,接种量0.4%,脱腥时间40 min;植物乳杆菌发酵脱腥的最佳工艺条件为:脱腥温度37 ℃,接种量7%,脱腥时间90 min;将两株菌进行联合发酵脱腥后,腥味感官评分可达9.4分,气味清香,基本无腥味,也无酸异味。
Thermal dissociation of fucoxanthin-protein binding in pigment complexes from chloroplasts of Hormosira(Phaeophyta)
[J].
Recovery and utilization of seaweed pigments in food processing
[J].
In vitro digestion of chlorophyll pigments from edible seaweeds
[J].
Cooking effects on bioaccessibility of chlorophyll pigments of the main edible seaweeds
[J].
Cooking effects on chlorophyll profile of the main edible seaweeds
[J].
Health protective effects of carotenoids and their interactions with other biological antioxidants
[J].
Health benefits of fucoxanthin in the prevention of chronic diseases
[J].
热烫处理对南瓜叶化学成分及色泽的影响
[J].为探明热烫处理过程中南瓜叶的品质变化,研究了蒸汽热烫、微波热烫及热水热烫对南瓜叶中VC、可溶性蛋白、叶绿素及草酸含量、过氧化物酶(peroxidase,POD)活性及色泽的影响。结果表明:3 种热烫方法对南瓜叶POD活性均有明显的抑制作用,蒸汽热烫可在60 s内使POD残余酶活力降低至7.10%,热水热烫对POD活性的抑制作用受温度影响较大,在95 ℃以上即对POD活性有明显抑制作用,此温度条件下热烫60 s,POD残余酶活力可降至4.85%;于微波功率480 W条件下热烫50 s,南瓜叶POD残余酶活力降至5.05%;经热水热烫的南瓜叶VC、可溶性蛋白含量最高,其次是微波烫漂,蒸汽热烫的最低;热水热烫的南瓜叶草酸含量亦较低,且L*值最大而a*值最小,即热水热烫的南瓜叶色泽最优。热水热烫是南瓜叶最适宜的热烫方式,其最适宜的烫漂条件为95 ℃、60 s。
Aggregation induced by the synergy of sodium chloride and high-pressure improves chlorophyll stability
[J].
Influence of dry salting on quality attributes of farmed kelp(Alaria esculenta)during long-term refrigerated storage
[J].
Pigmental improvement of green vegetables by controlling free radicals during heat dehydration
[J].
A study on the degradation kinetics of visual green colour in spinach( Spinacea oleracea L.) and the effect of salt therein
[J].
低温冷藏对西兰花营养品质和叶绿素荧光特性的影响
[J].针对采后西兰花易黄花和品质劣变导致的快速衰老问题,以西兰花品种‘优秀’为试材,对采收后的西兰 花进行低温冷藏(4±1)℃处理,以室温贮藏(25±1)℃为对照,分别在第0,2,4,6,8d测定叶绿素、蛋白质、VC、 可溶性糖和叶绿素荧光参数。与室温贮藏下的西兰花相比,低温冷藏第4d下花蕾中的Chl a、Chl b、Vc和实 际光化学效率Y (II)降低幅度较小,分别为46.7%,53.0%,54.7%和12.2%,而花茎中的Vc和可溶性蛋白则 呈现较高幅度的增加,分别为132.3%和91.8%。随着贮藏时间进一步延长,无论是室温贮藏还是低温冷藏下 的西兰花色素均开始大幅度分解,花蕾和花茎发生明显的黄花且其营养品质开始变劣。因此,从商品品质和营 养品质综合考虑,西兰花采后应进行低温冷藏并在4d之内食用完毕。
Effects of high hydrostatic pressure on color of spinach puree and related properties
[J].
Post-effects of high hydrostatic pressure on green color retention and related properties of spinach puree during storage
[J].
/
| 〈 |
|
〉 |


